华大在线讯(通讯员 王棣)近日,物理学院粒子物理研究所丁亨通教授课题组及其合作者在量子色动力学(QCD)手征相变的研究中取得重要进展。相关结果以“Microscopic Encoding of Macroscopic Universality: Scaling Properties of Dirac Eigenspectra near QCD Chiral Phase Transition”为题,于10月18日发表于国际期刊《物理评论快报》(Physical Review Letters)上。
在美国布鲁克海文国家实验室(BNL)和欧洲核子中心(CERN)上进行的高能重离子碰撞实验的目标之一是揭示强相互作用物质的相结构及其热力学性质。为此,高能重离子碰撞实验通过测量各种宏观量来寻找QCD相图中可能普适临界迹象。但即便观察到了这些临界现象的实验信号,一个科学问题仍然悬而未决——这些宏观尺度上的普适临界行为是如何从强相互作用的微观自由度即夸克和胶子中产生的?
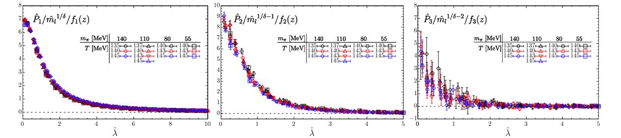
为了回答这一问题,丁亨通教授课题组及其合作者首次建立了手征相变序参量(手征凝聚)的累积量与胶子场背景下夸克能谱 (无质量QCD狄拉克算符的本征值谱)之间的关系。 这一关系阐明了手征凝聚的涨落是如何从夸克能谱红外部分的关联中产生的,并且由之可以自然地得到Banks-Casher关系并将之推广。通过开展在QCD手征相变温度附近、具有不同轻夸克质量的(2+1)味格点量子色动力学模拟,他们发现了狄拉克本征值谱红外部分的关联表现出与手征凝聚累积量相同的普适标度行为,且这些普适标度行为一直延伸到上、下夸克质量为物理值的情况。该项研究揭示了宏观层面上QCD普适标度行为与微观层面上夸克能谱关联之间的密切联系。

摘自文中图2:反映夸克能谱的1,2,3点关联的Pn(n=1,2,3)除以对应的O(2)标度函数和夸克质量。该图Pn表明与手征凝聚累积量具有相同的普适标度行为。
该工作由我院丁亨通教授、丁亨通教授课题组博士生黄玮平(通讯作者)、美国布鲁克海文国家实验室的研究员Swagato Mukherjee博士和Peter Petreczky博士共同合作完成。该成果的格点QCD模拟与计算,主要依托华中师范大学核科学计算中心(NSC3)和武汉超算中心进行。该项研究得到了科技部项目(2022YFA1604900)和国家自然基金委项目(12293064,12293060,12325508)的资助。
(审读人:俞云伟)