华大在线讯(通讯员 郭文欣)近日,心理学院赵庆柏教授课题组在教育学领域国际顶级期刊《Computers & Education》发表最新研究成果,系统探讨了人类主体性在学生-AI协同创造性问题解决中的作用。论文题为 “Student-AI Collaborative Creative Problem-Solving: The Role of Human Agency”。心理学院2024级博士生郭文欣与已毕业博士生梁正为该论文共同第一作者,湖北中医药大学陈石博士、赵庆柏教授、于全磊副教授为共同通讯作者。
随着生成式AI的发布和不断迭代,其在创造领域展现出强大能力,如何利用AI突破思维边界并提高学生创造力已成为当前研究的热点。根据分布式认知理论,人类的认知不仅限于个体的身心内部,可以扩展至他人、其他智能体甚至环境中其他事物(如书本等工具),认知的扩展能大幅提升整体的认知水平和思维能力。先前研究发现,人-AI协同能广泛提高整体的创造性表现。但是,当前的人-AI协同创造存在三大问题:一是难以产生原始的、突破性的创新;二是可能导致创意同质化;三是削弱甚至剥夺人的独立思维,不利于人的创造力的提升与发展。然而,现有研究尚未提出有效的策略来优化人-AI的协作模式。
本研究认为,产生如此负面效果的主要原因是当前的人-AI协作创造违反了分布式认知理论的基本假定——人的主体性地位,即学生在与AI互动时会将问题解决的主责转移到AI上,从而导致人的主体性丧失。相应地,本研究以分布式认知理论为基础,将学生置于人-AI协同创造的主体地位,而将AI作为人类认知的延伸,并探索提升人-AI协同创造的策略以及实现学生创造力培养目标的路径。
为深入探究这一问题,研究设计了两项实验,通过不同的操纵方式来激发和维持人类主体性。实验1通过设置“协作前独立思考”与“协作后独立思考”条件,考察两种学生-AI协作方式对创造性问题解决的影响。研究结果发现,协作前独立思考可以优化学生在与AI互动中的提问质量,同时能显著提升学生的认知获得感。但提问质量的提升是阶段性的,并不足以驱动整个创造过程,因此并未导致最终创意方案的显著提升。

图1.实验流程图
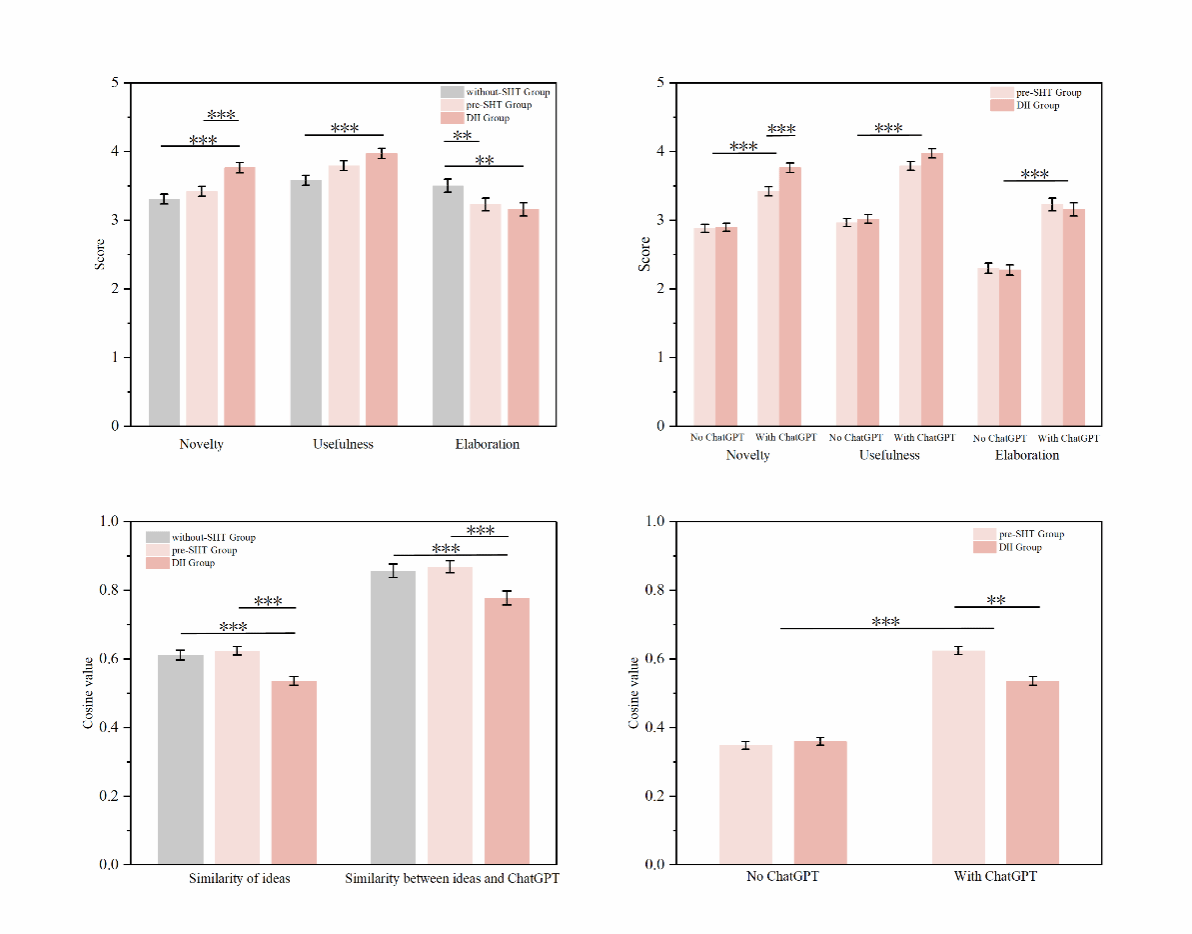
实验2进一步要求学生在协作过程中将自身事先独立生成的想法与AI生成内容深度整合,以确保人类主体性的持续。结果表明,深度整合组的提问质量得到了持续性提升,并驱动了最终方案创意的显著提升。同时,学生个性化的想法也导致了彼此间方案相似性的显著下降。

图2. 实验2 不同组别的创造性问题解决表现和方案相似性
本研究基于分布式认知理论,从人类主体性视角探讨学生应如何更好与AI交互,为教育领域AI技术的有效应用提供了重要启示。人类主体性的持续激活与认知整合是实现人-AI协同创造的关键路径。创新教育应重点关注学生独立思考与AI 使用之间的平衡,将学生定位为具有反思能力和整合能力的认知主体,而非被动的内容接收者。未来的教育技术设计应设计能够持续激发人类主体性、促进深层协同加工的AI支持环境,从而真正实现创造力的深度发展。
(审读人:丁玉斌 赵庆柏 钟绍斌)
全文链接:https://doi.org/10.1016/j.compedu.2025.105433