华大在线讯(通讯员 申定羽)近日,第四届中华经典诵写讲大赛获奖名单公布,我校荣获9个奖项。其中,“诵读中国”经典诵读全国决赛,我校获得大学生组一等奖1项、三等奖1项,留学生组三等奖1项,教师组优秀奖1项。“诗教中国”诗词讲解全国决赛,我校获得大学生组一等奖1项。“笔墨中国”汉字书写全国决赛,我校获得硬笔类大学生组一等奖1项、二等奖1项、三等奖1项,毛笔类大学生组优秀奖1项。

徐悠作品《以韵品诗——读黄鹤楼》获“诗教中国”诗词讲解大赛大学生组一等奖

蒋嘉、马芷欣作品《大地颂歌》获“诵读中国”经典诵读大赛大学生组一等奖

王韵芝、赵鹏超作品《江汉关的钟声》获“诵读中国”经典诵读大赛大学生组三等奖

林妙璇、林杰、阿克那作品《岳阳楼记》获“诵读中国”经典诵读大赛留学生组三等奖

耿书培作品《木兰辞》获“诵读中国”经典诵读大赛教师组优秀奖

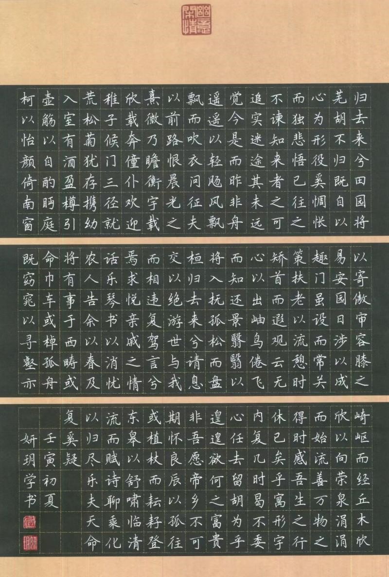
屈妍玥作品《归去来兮辞》获“笔墨中国”汉字书写大赛硬笔类大学生组一等奖

乔丽瑜作品《颂党诗六首》获“笔墨中国”汉字书写大赛硬笔类大学生组二等奖

张艺馨作品《毛泽东词二首》获“笔墨中国”汉字书写大赛硬笔类大学生组三等奖

杨淼瑜作品《滕王阁序》获“笔墨中国”汉字书写大赛毛笔类大学生组优秀奖
根据《教育部办公厅关于举办第四届中华经典诵写讲大赛的通知》要求,5月至12月,教师教育学院牵头,校语委办组织新闻传播学院、国际文化交流学院、校广播台、文学院、历史文化学院、城市与环境科学学院等部门,围绕“雅言传承文明,经典浸润人生”大赛宗旨,联合开展宣传动员、选拔竞赛、训练指导、视频拍摄剪辑等活动,在校园内营造亲近中华经典、热爱中华经典的氛围。
第四届中华经典诵写讲大赛由教育部、国家语委举办,大赛以“经典筑梦向未来”为主题,通过诵读、讲解、书写、篆刻等语言文字表现形式,弘扬中华优秀语言文化,从中华经典中汲取智慧力量、坚定理想信念、彰显时代精神,展现社会大众尤其是青少年对中华经典的传承与创新,为迎接党的二十大胜利召开营造良好氛围,为实现中华民族伟大复兴凝聚磅礴力量。
(审读:何静)